menu

新型コロナ関連情報

      TOP
      新型コロナ関連情報
      新型コロナワクチンの有効性(ファイザー製)
  • 最終更新日2021年02月05日
  • コロナワクチンの有効性
    (ファイザー製)

    かなり有望なワクチンのようです。ワクチンに対する忌避意識やワクチン接種を有害だとする主張の妥当性については、本サイト評定「ワクチン有害説」をご覧ください。

    新型コロナウイルスに対するワクチンは、新型コロナの感染流行およびそれに伴う社会的混乱の収束には欠かせない重要なキーです。2020年末より、世界各国において新型コロナウイルスに対するワクチン接種が始まり、日本においても2021年2月下旬から始まるようです。2021年1月21日時点において、国別の割合でワクチン接種がもっとも進んでいる国はイスラエルであり、尋常でないスピードでワクチン接種が実施されています。実際、すでに人口の3割以上に一度目のワクチン接種がされているようです(下図1)。同様に、単純な接種数でいうとトップは米国で、1500万人以上がワクチンを接種しています(下図2)。

    このように、新型コロナに対するワクチン接種が進んでいますが、本ページでは当該ワクチン(ファイザー製:BNT162b2)の実際の効果(有効性、安全性)について、公表されている治験データに基づき簡単に解説します。

    図1 ワクチン接種状況(1)
    図1 ワクチン接種状況(1)出典:Our World in Data

    図2 ワクチン接種状況(2)
    図2 ワクチン接種状況(2)出典:Our World in Data

    Pfizer and BioNTechによる治験データ

    研究方法
    研究デザインランダム化比較試験(二重盲検法)
    実験条件
    有効最終被験者数(2回接種)ワクチン群18556人 プラセボ群18530人
    年齢幅(中央値)ワクチン群16~89歳(52歳) プラセボ群16~91歳(52歳)
    性別(ワクチン群)男性9639人 女性9221人 (プラセボ群)男性9436人 女性9410人
    人種・民族グループ白人31226人 黒人3492人 アジア人1608人 ヒスパニック10543人 ネイティブアメリカン201人 ほか1139人
    実施国米国28914人 アルゼンチン5764人 ブラジル2284人 南アフリカ744人
    BMI指数30以上ワクチン群:6556人 プラセボ群:6662人
    研究結果
    有効性(2回目接種から7日後まで感染の疑いのない人における新型コロナ感染)
    ワクチン群8人 プラセボ群162人 有効率95.0,95%CI[90.3-97.6]
    ※接種後に発生した重症化事例(ワクチン群1人 プラセボ群9人)
    安全性(※軽微なもの)
    ①注射部位の痛み
    16~55歳まで:ワクチン群1632/2045人 プラセボ群245/2053人 55歳以上:ワクチン群1098/1660人 プラセボ群127/1646人
    ②赤化
    16~55歳まで:ワクチン群123人/2045人 プラセボ群14人/2053人 55歳以上:ワクチン群120人/1660人 プラセボ群12人/1646人
    ③腫れ
    16~55歳まで:ワクチン群132人/2045人 プラセボ群5人/2053人 55歳以上:ワクチン群124人/1660人 プラセボ群11人/1646人
    ④深刻な事象
    死者:ワクチン群2/21621人 プラセボ群4/21631人
    有害事象による実験離脱者:ワクチン群37/21621人 プラセボ群30/21631人

    まとめ

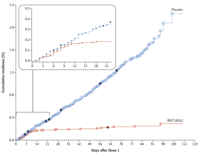
    【有効性に関して】 全体的な結果は上に示した通り、非常に高い有効性であったことがうかがえます。新型コロナ感染および重症化予防効果について、かなり高い効果が期待できそうです。なお下図3は、ワクチン接種有効性の追跡調査を示したもので、ヨコ軸が接種からの日数になります。この図の結果を見る通り、ワクチン接種後少なくとも3~4か月程度はワクチンの効果が顕著に続くものと想定されます。ただし、今回のワクチン効果がさらにどの程度持続するかは不明で、新型コロナの性質上、一度の接種で終生接種しなくてもよくなるとは限らないとの見方もあります。とりあえず、「当座の流行を何とかするためのもの」と捉えるのがよさそうです。

    図3 ワクチンによる新型コロナ感染数の追跡評価
    図3 ワクチンによる新型コロナ感染数の追跡評価(Fernando, et al. 2020より引用)

    【安全性に関して】 他のすべてのワクチンと同様に、新型コロナワクチンについても一定の「有害事象(ワクチン接種後に起きたすべての有害事象)」および「副反応(ワクチン接種を理由とする有害事象)」がありそうです。ただし現状、ワクチンを原因とする副反応において深刻なものは見られず、有効性だけでなく安全性にも問題のないワクチンといえそうです。

     たとえば、実験期間中の死亡者は合計6人でしたが、ワクチン群で2人、プラセボ群で4人と、ワクチンが原因とは考えにくい結果でした。死者の詳細ですが、ワクチン群の死者のうちの一人は接種3日後に動脈硬化によって亡くなり、もう一人は接種65日後に亡くなったようです。一方プラセボ群では、心筋梗塞(n=1)、出血性脳卒中(n=1)、原因不明(n=2)で、4人の死亡のうち3人は55歳以上でした。なお、これらすべての死亡頻度と各年齢層の一般集団での死亡頻度は同様の割合のようで、いずれにしても偶然範囲といえるでしょう。

     加えて、出産女性におけるワクチンの安全性について、まず今回の治験では、ワクチン接種前に妊娠がわかった場合は接種対象から除外されました。一方、ワクチン接種後に判明した妊娠者について、2020年11月14日までに合計23人の妊娠が報告されましたが(ワクチン群12人、プラセボ群11人)、それらの対象者について、治験終了時点でワクチンによる深刻な事象は報告されていません。

     その他、今回の治験で発生した軽微な有害事象については下図4をみてください。また、今回のワクチンの安全性についての追跡調査は下図5のように進められることになっています。総じて、有効性に関してはかなり有望なワクチンであるといえ、安全性についても、現時点でこのワクチンが原因であるとする深刻な副反応は報告されていません。

    図4 図4 治験における有害事象データ
    図4 治験における有害事象データ(Fernando, et al. 2020より引用)

    図5 ワクチン安全性の追跡計画
    図5 ワクチン安全性の追跡計画(Fernando, et al. 2020)

    1. Fernando, et al.(2020):Safety and Efficacy of the BNT162b2 mRNA Covid-19 Vaccine, N Engl J Med, 383(27), pp.2603-2615.